This R package extends package arules with NBMiner, an implementation of the model-based mining algorithm for mining NB-frequent itemsets presented in “Michael Hahsler. A model-based frequency constraint for mining associations from transaction data. Data Mining and Knowledge Discovery, 13(2):137-166, September 2006.”
In addition an extension for NB-precise rules is implemented.
Stable CRAN version: Install from within R with
install.packages("arulesNBMiner")Current development version: Install from r-universe.
install.packages("arulesNBMiner",
repos = c("https://mhahsler.r-universe.dev",
"https://cloud.r-project.org/"))Estimate NBD model parameters for the Agrawal data set.
library("arulesNBMiner")
data("Agrawal")
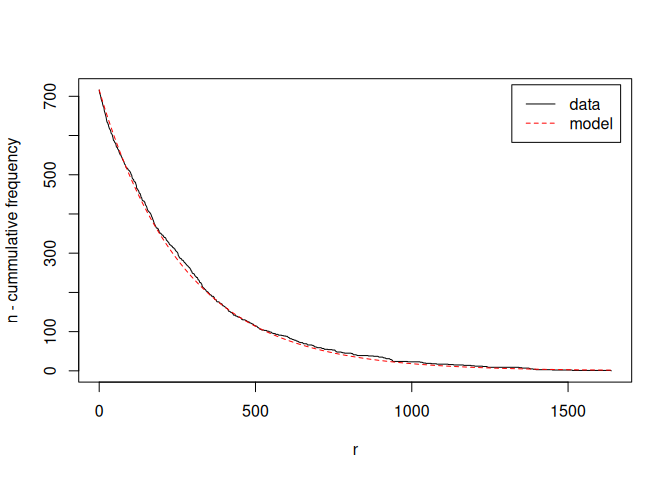
param <- NBMinerParameters(Agrawal.db, pi = 0.99, theta = 0.5, maxlen = 5, minlen = 1,
trim = 0, verbose = TRUE, plot = TRUE)## using Expectation Maximization for missing zero class
## iteration = 1 , zero class = 3 , k = 0.99 , m = 278
## iteration = 2 , zero class = 3 , k = 0.99 , m = 278
## total items = 719

Mine NB-frequent itemsets
itemsets_NB <- NBMiner(Agrawal.db, parameter = param, control = list(verb = TRUE,
debug = FALSE))##
## parameter specification:
## pi theta n k a minlen maxlen rules
## 0.99 0.5 719 0.99 0.0014 1 5 FALSE
##
## algorithmic control:
## verbose debug
## TRUE FALSE
Inspect some itemsets with the highest precision.
inspect(head(itemsets_NB, by = "precision"))## items precision
## [1] {item220, item956, item964} 1
## [2] {item510, item667, item885} 1
## [3] {item452, item956, item964} 1
## [4] {item60, item173, item417, item440, item831} 1
## [5] {item258, item452, item956} 1
## [6] {item149, item231, item611} 1